推薦企業新聞
-
水泵行業發展前景及剖析
2021年10/11 - 09:04:02
-
半閉式葉輪自吸離心泵
2021年10/11 - 09:03:57
-
水泵按時檢修方式 專業知識
2021年10/11 - 09:03:54
-
往復泵閥的功效是啥
2021年10/08 - 13:26:28
-
化工泵選型時要特別注意些哪些
2021年10/08 - 13:26:26
-
水泵的操縱方式如何
2021年10/08 - 13:26:25
150ZW200-15自吸式污水處理水泵價格及外觀設計安裝規格和性能主要參數趨勢圖
150ZW200-15自吸泵價格,150ZW200-15自吸排污泵安裝尺寸圖,150ZW200-15離心水泵性能趨勢圖
一、150ZW200-15自吸水泵性能主要參數
150ZW200-15自吸水泵型號規格里邊逐漸一個數據150意味著150ZW200-15泵的進口和出入口規格全是DN150mm的,ZW英文字母意味著產品名字自吸排污泵,第2個數據200意味著150ZW200-15吸污水泵的總流量每鐘頭200立方,后數據15意味著150ZW200-15自吸水泵的水泵揚程15米,這兒必須留意的是全部自吸排污泵因為高效率比清水泵高效率要低一些而且型號選擇時也要充分考慮自吸式高寬比的損害、因此在挑選水泵揚程時假如務必要做到15米,提議采用水泵揚程在20米長的自吸排污泵比如:150ZW200-20。
1、分離式150ZW200-15自吸排污泵實體圖

2、直連式150ZW200-15自吸水泵實體圖

二、150ZW200-15自吸排污泵尺寸圖及150ZW200-15自吸排污泵安裝尺寸圖
最先要告知大伙兒150ZW200-15污水泵能夠 制成分離式和直連式的二種種類,分離式便是帶連軸器方式的、直連式便是電動機軸延長離心葉輪就在電動機軸上固定不動的,這二種都有各的優點,分離式便捷拆換機封便捷維修可是在具體應用安裝全過程中通常會發生因為安裝全過程中均衡同軸度的原因當場應用出來非常容易發生連軸器非常容易毀壞、而且非常容易發生震動大、噪聲大的狀況發生,而直連式的優勢占地小、設備故障率較低、震動及噪聲都較為小,僅僅檢修拆換機封時略微不便一點,大家或是提議采用直連式的比較好。
1、分離式150ZW200-15自吸排污泵安裝尺寸圖

2、直連式150ZW200-15自吸排污泵尺寸圖

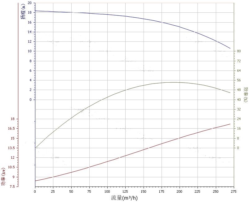
三、150ZW200-15自吸排污泵性能趨勢圖

之上150ZW200-15離心水泵性能趨勢圖是依照冷水為規范的性能趨勢圖,而且為減掉吸程耗損,該150ZW200-15離心水泵性能趨勢圖僅作參考,假如要達到吸程的工作狀況下總流量水泵揚程務必做到提議挑大一個型號規格的較為適合。大流量的自吸排污泵提議采用:強自吸泵
四、150ZW200-15自吸式污水泵價錢
分離式150ZW200-15自吸泵價格價稅合計含運輸費價錢8000元,直連式150ZW200-15水泵價錢7600元,隔爆型150ZW200-15自吸泵價格價稅合計運10000元,直連式防爆型150ZW200-15自吸泵價格9500元,不銹鋼板304材料150ZW200-15水泵價錢13200元、不銹鋼板304材料隔爆型150ZW200-15水泵價錢14000元(直連式150ZW200-15自吸泵價格均依照分離式的價錢下幅5%、價錢僅作參考實際價錢以價格為標準)
該系列產品150ZW200-15自吸排污泵自吸式高寬比僅有4-5米如想高些一些提議采用:吸程遠的自吸水泵
假如想采用柴油發動機驅動器的自吸水泵提議采用:大流量柴油發動機自吸水泵
該篇有關:150ZW200-15自吸泵價格,150ZW200-15自吸排污泵安裝尺寸圖,150ZW200-15離心水泵性能趨勢圖的文章內容由技術專業的自吸水泵企業原創。
上一篇:氣液混輸自吸泵的原理
-
水泵按時檢修方式 專業知識2021-10-11
-
水泵的操縱方式如何2021-10-08
-
自吸泵應當如何選型及選型舉例2021-09-08
-
立式自吸泵與臥式自吸泵的優點較為2021-08-17
-
葉片泵的種類及結構形式2021-08-13
-
深井潛水泵電纜的如何接線,深井潛水泵的接線方式2021-08-10
-
LW排污泵安裝尺寸,LW直立式排污泵安裝尺寸圖2021-08-09
-
自吸泵打壓試漏漏水的緣故2021-08-03
-
排污泵如何配電纜線2021-03-29
-
磁力泵和屏蔽泵的安全性較為2021-08-02
-
上海市盛納水泵廠自吸泵原理剖析2021-03-09
-
離心泵的工作原理知識_離心泵工作原理動畫2021-03-31
-
自吸式水泵進口管道改小對水泵的危害2021-03-31
-
盛納自吸式水泵測試平臺超過領域水準2021-08-12
-
潛水泵的關鍵技術性特性2021-03-10
-
多級離心泵的結構圖及原理2021-04-02




